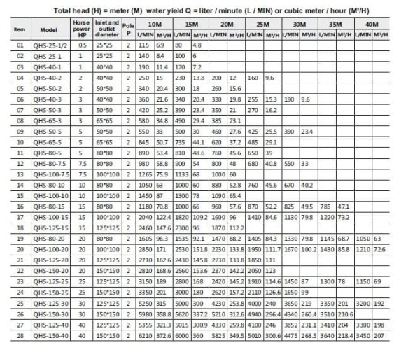
Centrifugal pump QHS-25-1, AISI 316 for ammonia water
Brand:
QeehuaCharacteristics
Output pipe diameter:
DN25
Producer:
Qeehua
Power supply:
3х380 V, 50 Hz
Max. head, m:
10
Feed height, m:
10
Power capacity, kW:
0,75
Pump capacity, m3/h:
8.4
See all
Documentation
Favorite
Compare
Products from the same category
Also buy with this product
Exchange or returnWe will return or exchange for another product
Fast shippingWe will pick up and send promptly
Warranty and qualityGuaranteed return of goods within 10 days
On-line payment on the sitePayment is made by bank cardsFeatures Centrifugal pump QHS-25-1, AISI 316 for ammonia water
Output pipe diameter | DN25 |
Producer | Qeehua |
Power supply | 3х380 V, 50 Hz |
Max. head, m | 10 |
Feed height, m | 10 |
Power capacity, kW | 0,75 |
Pump capacity, m3/h | 8.4 |
Max.flow rate, m3/h | 8.4 |
Shaft material | SSIC |
Input pipe diameter | DN25 |
Material | AISI 316 stainless steel |
Serial number of the pump | QHS |
Country of Origin | China |
PumpType | console |
Drive Type | electric |
Installation Type | horizontal |
Type of configuration | with engine |
Description Centrifugal pump QHS-25-1, AISI 316 for ammonia water
The pump is used for general purpose clean water production, surface treatment, food industry and chemical industry. The pump body can be made of AISI304 or AISI316 steel, the shaft seal type according to chemical requirements. The main pump body is made of high-quality materials by precision casting, with a strong and compact structure. Product advantage: Unique technology, low noise, high efficiency, corrosion resistance, long service life. Patented technology, European Union CE, SGS quality certification. High temperature resistance, suitable for many kinds of liquid. Centrifugal pump with 4-pole motor to solve the problem of rapid liquid temperature rise. Equipped with an idling protection device, which can prevent the shaft seal from being damaged due to the pump idling in the event of lack of liquid. Secondary energy efficiency, energy saving and environmental protection (customized).
Documentation Centrifugal pump QHS-25-1, AISI 316 for ammonia water
Download instructions, catalog for Centrifugal pump QHS-25-1, AISI 316 for ammonia water
Centrifugal pump QHS-25-1, AISI 316 for ammonia water reviews

Help in selection
+38 067 360-71-01
Selection of mechanical seals
+38 095 656-37-57
Pump selection
If you have any questions when placing an order, or need help choosing a product, please contact the specified contacts.



















































































































