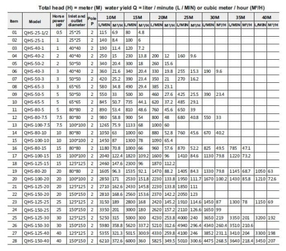
Bomba para bombeo de queroseno limpio QHS-80-5, AISI 316
Marca:
QeehuaCaracterísticas
El diámetro de la tubería de salida:
DN80
Manufacturero:
Qeehua
Fuente de alimentación:
3х380 V, 50 Hz
Altura de suministro (max), m.agua st:
25
Altura de suministro, m.agua st:
25
Potencia, kilovatios:
3,7
Productividad, metros cúbicos por hora:
39
Ver todo
Documentación
Favoritos
Comparación
Productos de la misma categoría
Compra también con este producto
Cambio o reembolsoReembolso o cambio por otro artículo
Entrega rápidaRecogeremos y enviaremos puntualmente
Garantía y calidadGarantía de devolución de mercancías dentro de 10 días
Pago en línea en líneaEl pago se realiza con tarjeta bancariaCaracterísticas Bomba para bombeo de queroseno limpio QHS-80-5, AISI 316
El diámetro de la tubería de salida | DN80 |
Manufacturero | Qeehua |
Fuente de alimentación | 3х380 V, 50 Hz |
Altura de suministro (max), m.agua st | 25 |
Altura de suministro, m.agua st | 25 |
Potencia, kilovatios | 3,7 |
Productividad, metros cúbicos por hora | 39 |
Productividad (máx), metros cúbicos por hora | 39 |
Material del eje | SSIC |
El diámetro de la tubería de entrada | DN80 |
Material | AISI 316 acero inoxidable |
Serie de bombas | QHS |
País natal | Porcelana |
Tipo de bomba | consola |
Tipo de unidad | eléctrico |
Tipo de instalación | horizontal |
Tipo de equipamiento | con motor |
Descripción Bomba para bombeo de queroseno limpio QHS-80-5, AISI 316
La bomba se utiliza para la producción de agua limpia de propósito general, tratamiento de superficies, industria alimentaria y industria química. El cuerpo de la bomba puede estar hecho de acero AISI304 o AISI316, el tipo de sello del eje según los requisitos químicos. El cuerpo principal de la bomba está hecho de materiales de alta calidad por fundición de precisión, con una estructura fuerte y compacta. Ventaja del producto: Tecnología única, bajo nivel de ruido, alta eficiencia, resistencia a la corrosión, larga vida útil. Tecnología patentada, certificación de calidad CE y SGS de la Unión Europea. Resistencia a altas temperaturas, adecuada para muchos tipos de líquidos. Bomba centrífuga con motor de 4 polos para resolver el problema del aumento rápido de la temperatura del líquido. Equipada con un dispositivo de protección contra ralentí, que puede evitar que el sello del eje se dañe debido a la bomba en ralentí en caso de falta de líquido. Eficiencia energética secundaria, ahorro de energía y protección del medio ambiente (personalizado).
Documentación Bomba para bombeo de queroseno limpio QHS-80-5, AISI 316
Descargar instrucciones, catálogo para Bomba para bombeo de queroseno limpio QHS-80-5, AISI 316
Bomba para bombeo de queroseno limpio QHS-80-5, AISI 316 reseñas

Ayuda en la selección
+38 067 360-71-01
Selección de sellos mecánicos
+38 095 656-37-57
Selección de bombas
Si tiene alguna pregunta al realizar el pedido, o necesita ayuda para seleccionar el producto, comuníquese con los contactos especificados.



















































































































