Pompa do transferu ciekłego propanu QHS-40-2, AISI 316
Marka:
QeehuaCharakterystyka
Średnica króćca wylotowego:
DN40
Producent:
Qeehua
Zasilanie:
3х380 V, 50 Hz
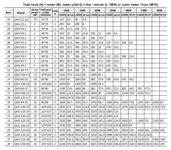
Wysokość podnoszenia (max), m.w.St:
15
Wysokość podnoszenia, m.w.St:
15
Moc, kW:
1,5
Wydajność, m3/godz:
13.8
Więcej
Dokumentacja
Ulubione
Porównanie
Produkty z tej samej kategorii
Kupuj również z tym produktem
Wymiana lub zwrotZwrócimy lub wymienimy na inny produkt
Szybka dostawaNiezwłocznie odbierzemy i wyślemy
Gwarancja i jakośćGwarantowany zwrot towaru w ciągu 10 dni
Płatność on-line na stroniePłatność dokonywana jest kartami bankowymiNiniejsze ogłoszenie / reklama jest zaproszeniem do zawarcia umowy i nie stanowi oferty w myśl. art. 66, par. 1 Kodeksu Cywilnego
Cechy Pompa do transferu ciekłego propanu QHS-40-2, AISI 316
Średnica króćca wylotowego | DN40 |
Producent | Qeehua |
Zasilanie | 3х380 V, 50 Hz |
Wysokość podnoszenia (max), m.w.St | 15 |
Wysokość podnoszenia, m.w.St | 15 |
Moc, kW | 1,5 |
Wydajność, m3/godz | 13.8 |
Wydajność (max), m3/godz | 13.8 |
Materiał wału | SSIC |
Średnica króćca wlotowego | DN40 |
Materiał | AISI 316 stal nierdzewna |
Seria pomp | QHS |
Kraj pochodzenia | Chiny |
Typ Pompy | Konsolowy |
Typ napędu | Elektryczny |
Rodzaj instalacji | Poziomy |
Typ sprzętu | z silnikiem |
Opis Pompa do transferu ciekłego propanu QHS-40-2, AISI 316
Pompa jest używana do ogólnej produkcji czystej wody, obróbki powierzchni, przemysłu spożywczego i chemicznego. Korpus pompy może być wykonany ze stali AISI304 lub AISI316, typ uszczelnienia wału zgodnie z wymaganiami chemicznymi. Główny korpus pompy jest wykonany z wysokiej jakości materiałów poprzez precyzyjne odlewanie, o mocnej i zwartej konstrukcji. Zaleta produktu: Unikalna technologia, niski poziom hałasu, wysoka wydajność, odporność na korozję, długa żywotność. Opatentowana technologia, certyfikat jakości CE Unii Europejskiej, SGS. Wysoka odporność na temperaturę, odpowiednia do wielu rodzajów cieczy. Pompa odśrodkowa z silnikiem 4-biegunowym rozwiązuje problem szybkiego wzrostu temperatury cieczy. Wyposażona w urządzenie zabezpieczające przed biegiem jałowym, które może zapobiec uszkodzeniu uszczelnienia wału z powodu biegu jałowego pompy w przypadku braku cieczy. Wtórna efektywność energetyczna, oszczędność energii i ochrona środowiska (dostosowane).
Dokumentacja Pompa do transferu ciekłego propanu QHS-40-2, AISI 316
Pobierz instrukcje, katalog dla Pompa do transferu ciekłego propanu QHS-40-2, AISI 316
Pompa do transferu ciekłego propanu QHS-40-2, AISI 316 recenzji

Pomóc w doborze
+48 22 390-63-48
Dobór uszczelnień mechanicznych
Dobór pomp
Dobór pomp
Jeśli masz jakiekolwiek pytania przy składaniu zamówienia lub potrzebujesz pomocy w wyborze produktu, skontaktuj się z podanymi kontaktami.




















































































































