Центробежный насос QHS-25-1/2, AISI 316 для перекачки гидрооксида аммония
Бренд:
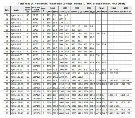
QeehuaХарактеристики
Производительность, м.куб/час:
6.9
Диаметр входного патрубка:
DN25
Диаметр выходного патрубка:
DN25
Электропитание:
3х380 V, 50 Hz
Высота подачи (max), м.вод.ст:
10
Материал вала:
SSIC
Материал:
AISI 316 нержавеющая сталь
Смотреть все
Документация
Избранное
Сравнение
Товары из этой же категории
С этим товаром также покупают
Обмен или возвратВернем или обменяем на другой товар
Быстрая доставкаОперативно подберем и отправим
Гарантия и качествоГарантированный возврат товара течение 10 дней
On-line оплата на сайтеОплата производится банковскими картамиХарактеристики Центробежный насос QHS-25-1/2, AISI 316 для перекачки гидрооксида аммония
Производительность, м.куб/час | 6.9 |
Диаметр входного патрубка | DN25 |
Диаметр выходного патрубка | DN25 |
Электропитание | 3х380 V, 50 Hz |
Высота подачи (max), м.вод.ст | 10 |
Материал вала | SSIC |
Материал | AISI 316 нержавеющая сталь |
Производитель | Qeehua |
Высота подачи, м.вод.ст | 10 |
Мощность, кВт | 0,7 |
Производительность (max), м.куб/час | 6.9 |
Серия насоса | QHS |
Страна происхождения | Китай |
Тип насоса | консольный |
Тип привода | электрический |
Тип установки | горизонтальный |
Тип комплектации | с двигателем |
Описание Центробежный насос QHS-25-1/2, AISI 316 для перекачки гидрооксида аммония
Насос используется для производства чистой воды общего назначения, обработки поверхностей, пищевой промышленности и химической промышленности. Корпус насоса может быть изготовлен из стали AISI304 или AISI316, тип уплотнения вала в соответствии с химическими требованиями. Основной корпус насоса изготовлен из высококачественных материалов методом точного литья, имеет прочную и компактную конструкцию. Преимущество продукта: Уникальная технология, низкий уровень шума, высокая эффективность, коррозионная стойкость, длительный срок службы. Запатентованная разработка, сертификация свойства CE, SGS Европейского Союза. Высокая термостойкость, подходит для многих видов жидкости. Центробежный насос с 4-полюсным двигателем для решения проблемы быстрого повышения температуры жидкости. Оснащен устройством защиты от холостого хода, которое может предотвратить повреждение уплотнения вала через холостой ход насоса в случае недостатка жидкости. Вторичная энергоэффективность, энергосбережение и защита окружающей среды (индивидуальные).
Документация Центробежный насос QHS-25-1/2, AISI 316 для перекачки гидрооксида аммония
Скачать инструкцию, каталог для Центробежный насос QHS-25-1/2, AISI 316 для перекачки гидрооксида аммония
Центробежный насос QHS-25-1/2, AISI 316 для перекачки гидрооксида аммония отзывы

Помощь в подборе
+38 067 360-71-01
Подбор механических уплотнений
+38 095 656-37-57
Подбор насосов
Если у вас возникли вопросы при оформлении заказа, или нужна помощь в подборе товара обратитесь по указанным контактам.



















































































































