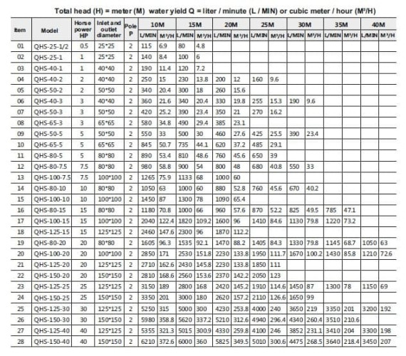
Насос для перекачування бензолу QHS-50-5, AISI 316
Бренд:
QeehuaХарактеристики
Діаметр вихідного патрубка:
DN50
Виробник:
Qeehua
Електроживлення:
3х380 V, 50 Hz
Висота подачі (max), м.вод.ст:
25
Висота подачі, м.вод.ст:
25
Потужність, кВт:
3,7
Продуктивність, м.куб / год:
25.5
Дивитись все
Документація
Вибране
Порівняння
Товари з цієї категорії
З цим товаром також купують
Обмін чи поверненняПовернемо або обміняємо на інший товар
Швидка доставкаОперативно підберемо і відправимо
Гарантія та якістьГарантоване повернення товару протягом 10 днів
On-line оплата на сайтіОплата провадиться банківськими карткамиХарактеристики Насос для перекачування бензолу QHS-50-5, AISI 316
Діаметр вихідного патрубка | DN50 |
Виробник | Qeehua |
Електроживлення | 3х380 V, 50 Hz |
Висота подачі (max), м.вод.ст | 25 |
Висота подачі, м.вод.ст | 25 |
Потужність, кВт | 3,7 |
Продуктивність, м.куб / год | 25.5 |
Продуктивність (max), м.куб / год | 25.5 |
Матеріал вала | SSIC |
Діaметр вхідного патрубка | DN50 |
Матеріал | AISI 316 нержавіюча сталь |
Серія насоса | QHS |
Країна походження | Китай |
Тип насосу | консольний |
Тип приводу | електричний |
Тип установки | горизонтальний |
Тип комплектації | з двигуном |
Опис Насос для перекачування бензолу QHS-50-5, AISI 316
Насос застосовується для виробництва чистої води загального призначення, обробки поверхонь, харчової промисловості та хімічної промисловості. Корпус насосу може бути виготовлений зі сталі AISI304 або AISI316, тип ущільнення валу відповідно до хімічних вимог. Основний корпус насоса виготовлений з високоякісних матеріалів методом точного лиття, має міцну і компактну конструкцію.
Перевага продукту: Унікальна технологія, низький рівень шуму, висока ефективність, стійкість до корозії, тривалий термін служби. Запатентована технологія, сертифікація якості CE, SGS Європейського Союзу. Висока термостійкість, підходить для багатьох видів рідини. Відцентровий насос з 4-полюсним двигуном для вирішення проблеми швидкого підвищення температури рідини. Оснащений пристроєм захисту від холостого ходу, який може запобігти пошкодженню ущільнення валу через холостий хід насоса в разі нестачі рідини. Вторинна енергоефективність, енергозбереження та захист навколишнього середовища (індивідуальні).
Документація Насос для перекачування бензолу QHS-50-5, AISI 316
Скачати інструкцію, каталог для Насос для перекачування бензолу QHS-50-5, AISI 316
Насос для перекачування бензолу QHS-50-5, AISI 316 відгуків

Допомога у підборі
+38 067 360-71-01
Підбір механічних ущільнень
+38 095 656-37-57
Підбір насосів
Якщо у вас виникли питання при оформленні замовлення, або потрібна допомога у підборі товару, зверніться за вказаними контактами.




















































































































